必赢线路检测中心
学校主页
|
联系我们
|
书记信箱
|
院长信箱
网站首页
学院概况
学院简介
现任领导
机构设置
师资队伍
教授
副教授/高级实验师
讲师及助理教授
心理治疗师/心理咨询师
客座教授/特聘兼职教师
管理团队
党群工作
预科教育
本科教育
专业设置
教学建设
创新创业
管理制度
研究生教育
专业设置
导师队伍
招生工作
培养动态
管理制度
教师教育
教师教育课程
师范技能实训
师范教育实习
教师教育共同体
语言文字工作
国家语言文字推广基地
普通话测试中心
推普风采
校友工作
校友名录
校友风采
下载专区
教师专区
学生专区
网站首页
学院概况
学院简介
现任领导
机构设置
师资队伍
教授
副教授/高级实验师
讲师及助理教授
心理治疗师/心理咨询师
客座教授/特聘兼职教师
管理团队
党群工作
预科教育
本科教育
专业设置
教学建设
创新创业
管理制度
研究生教育
专业设置
导师队伍
招生工作
培养动态
管理制度
教师教育
教师教育课程
师范技能实训
师范教育实习
教师教育共同体
语言文字工作
国家语言文字推广基地
普通话测试中心
推普风采
校友工作
校友名录
校友风采
下载专区
教师专区
学生专区
学校首页
返回首页
校友工作
校友名录
校友风采
校友名录
当前您的位置:
网站首页
>
校友工作
>
校友名录
>
正文
>
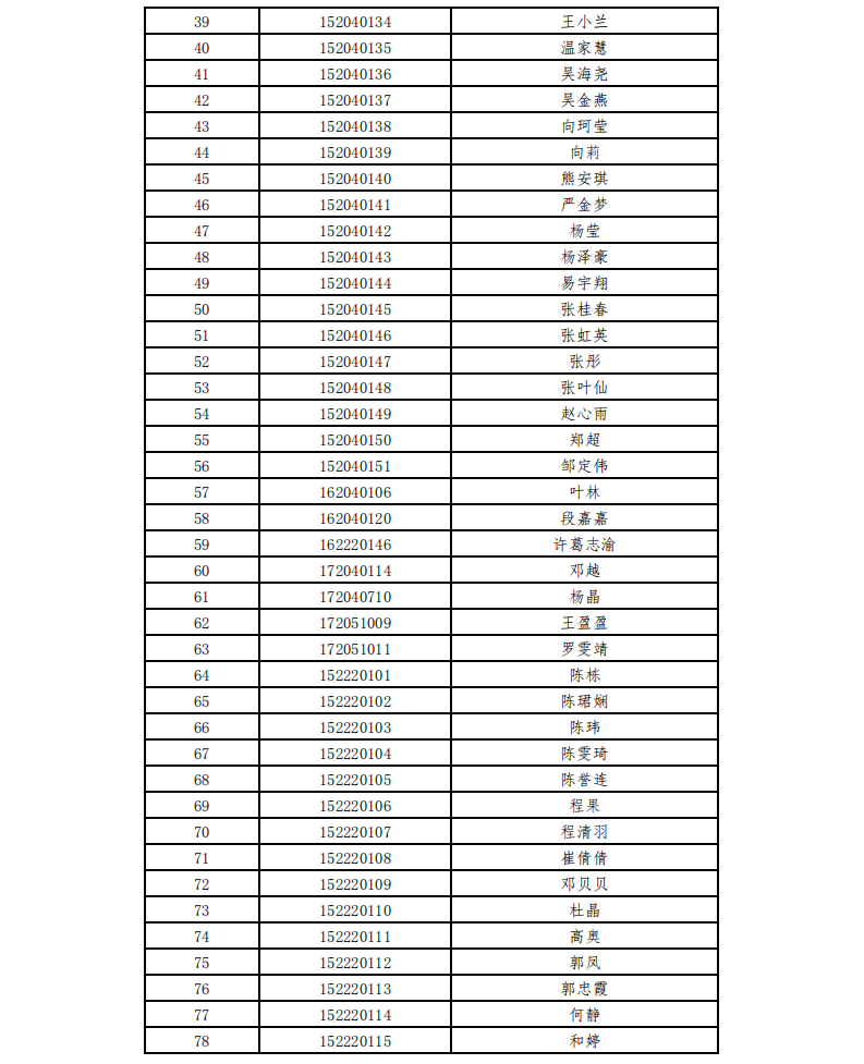
教师教育学院2024届校友名录
日期:2025-07-04
来源:
编辑:jyxy